业务咨询
中国:
Email: marketing@medicilon.com.cn
业务咨询专线:400-780-8018
(仅限服务咨询,其他事宜请拨打川沙总部电话)
川沙总部电话: +86 (21) 5859-1500
海外:
+1(781)535-1428(U.S.)
0044 7790 816 954 (Europe)
Email:marketing@medicilon.com



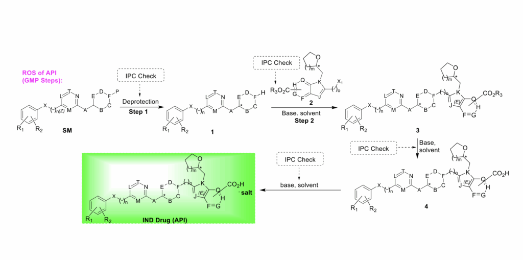
美迪西为一项小分子新化学实体 (NCE) 项目提供了高度集成的一站化 CMC 服务,助力该项目自启动之日起约 12 个月内获得了新药临床试验申请 (IND) 的批准。项目采用阶段化、以质量源于设计(QbD)为导向的 CMC 策略,同时满足了美国食品药品监督管理局 (FDA) 和国家药品监督管理局 (NMPA) 的监管要求,并支持了中美两国的并行申报。
从早期合成路线优化和实验室验证阶段开始,美迪西的 CMC 团队在严格、以里程碑为导向的项目管理时间表下,系统推进了工艺开发、工艺安全性评估、分析方法开发与验证、GMP 生产以及 CTD 模块 3 的撰写与申报准备工作。
1、合成路线的重新设计与优化,提升工艺放大性与稳健性
2、实验室验证与小试合成
3、工艺安全性评估与风险分析
4、分析方法开发与验证
5、用于 IND 申报的 GMP 级原料药批次生产
6、CTD 模块 3 撰写及注册申报准备支持


相关新闻