业务咨询
中国:
Email: marketing@medicilon.com.cn
业务咨询专线:400-780-8018
(仅限服务咨询,其他事宜请拨打川沙总部电话)
川沙总部电话: +86 (21) 5859-1500
海外:
+1(781)535-1428(U.S.)
0044 7790 816 954 (Europe)
Email:marketing@medicilon.com



在一项小分子项目中,美迪西对 API 的合成路线及固态形态策略进行了重新设计,显著提升了可制造性、安全性和分析控制能力。在统一的 CMC 框架下,该项目系统整合了工艺化学、固态科学与分析方法开发工作。
1. 提升效率

1) 线性合成步骤由 12 步减少至 7 步,总收率从<1%>10%,且无需进行硅胶柱纯化。
2. 减少步骤

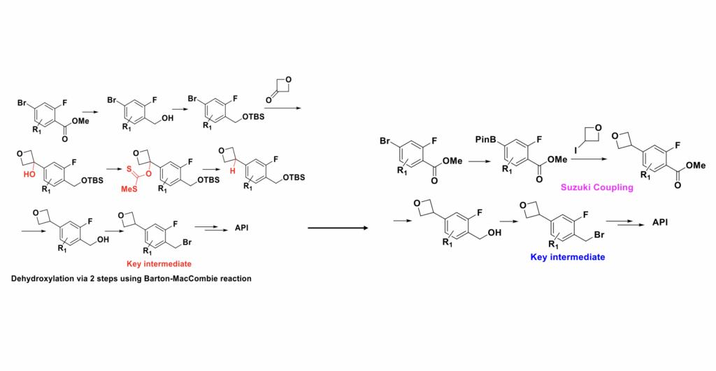
2)美迪西通过重新设计API 的 CMC工艺,将关键中间体的合成路线由 7 步缩减至 4 步,并将收率从不足 5% 提高到超过 20%。
1)盐型与晶型研究:
对不同盐型进行 XRPD 对比(如盐酸盐与苹果酸盐)


2)晶型研究:
比较传统与新型结晶方法,以获得可用于结构解析的单晶。

1)溶剂残留去除:采用 20 余种经典及自主开发的方法减少溶剂残留。

2)API 分析方法开发:

原始分析方法光谱

相关杂质无法完全分离
分析方法优化后的光谱

相关杂质可以被有效分离