
随着药物研发进入临床前阶段,大型动物DMPK研究在推动候选药物向临床转化中发挥着关键作用,可用于预测人体暴露水平、安全性及给药剂量。
美迪西提供一体化大型动物研究平台,涵盖药代动力学(PK)、ADME研究、非GLP及GLP毒理学评价,支持传统小分子药物及新型治疗模式的研发需求。依托AAALAC认证的实验设施、经验丰富的体内研究团队以及完善的生物分析能力,美迪西可助力客户获得可靠、符合监管要求的DMPK研究数据。
美迪西的大型动物研究对象包括迷你猪、比格犬以及非人灵长类(如食蟹猴和恒河猴)。
联系我们,咨询大型动物DMPK服务

通过将大型动物DMPK研究服务与体外ADMET研究及PK/PD建模相结合,美迪西可从早期发现阶段到IND申报支持阶段,构建连贯且以科学为驱动的整体研究体系。
我们的大型动物饲养能力包括:

连接小动物数据与人体转化研究啮齿类动物研究具有重要价值,但监管机构及项目团队通常需要非啮齿类动物数据以评估人体风险。大型动物研究可以:
我们的大型动物DMPK研究服务旨在衔接啮齿类动物研究结果与人体预测分析,助力候选药物筛选决策及首次人体给药(FIH)剂量的确定。
满足IND申报相关的监管要求监管机构通常要求在IND及CTA申报中提供非啮齿类动物的DMPK及安全性数据。通过精心设计的大型动物研究,您可以获得以下关键信息:
这使得美迪西的大型动物DMPK研究服务成为一体化IND申报策略中的重要组成部分。
用于DMPK研究的非啮齿类动物:犬、猴、小型猪等美迪西体内研究团队可支持多种动物种属,以满足不同项目需求:
我们的大型动物DMPK研究服务依托上述多种动物模型,生成具有良好转化价值的可靠数据。
灵活的研究设计:单次给药、多次给药和盒式给药研究方案可根据项目阶段、化合物供给情况及关键决策节点进行设计:
贴近临床应用的给药途径设计为更好地与未来临床应用保持一致,美迪西在大型动物研究中提供多种给药方式:
我们的大型动物DMPK研究服务可模拟预期的临床给药途径,从而提供更具相关性的药代动力学及安全性数据。

美迪西可在大型动物中常规开展完整的药代动力学(PK)研究,包括高密度早期时间点采样及延长采样窗口。连续微量采样技术可实现:
上述PK研究数据是大型动物DMPK研究服务的核心基础。
我们可支持系统的ADME特征研究,包括:
这些数据有助于识别代谢产物类型、评估体内蓄积情况,并满足监管机构对代谢产物安全性的评估要求。
美迪西的非GLP能力包括:
结合药代动力学数据,这些大型动物DMPK研究可用于界定初步安全窗口,并为后续GLP毒理研究方案设计提供依据。
我们的外科团队开展多种专业操作,以支持先进的PK及ADME研究:
这些能力扩展了我们的大型动物DMPK研究服务范围,特别是对于具有挑战性的化合物和治疗方式。
美迪西已在犬和猴中建立多种组织活检技术,包括肝脏、皮肤、脂肪、骨髓、淋巴结及肌肉活检,可在B超引导或外科手术条件下实施:
上述技术对于寡核苷酸及基因修饰类疗法尤为重要,因为此类研究对组织暴露水平要求较高。
针对寡核苷酸和siRNA项目,美迪西可提供连续活检方案,设置合理的恢复间隔(如2–3周,具体取决于研究设计),并严格控制实验动物体重范围(如猴3–6 kg,犬8–12 kg)。
该策略可实现对以下指标的多次评估:
这些先进的采样技术构成了美迪西在核酸类药物大型动物DMPK研究服务中的核心能力之一。
美迪西通过完整的体外ADMET研究体系,对大型动物及人体研究形成有力补充,包括:
这些数据可与大型动物DMPK研究服务相结合,用于支持转化建模及药物相互作用(DDI)风险评估。
我们的转运体和通透性研究包括:
这些研究能力结合大型动物PK数据,有助于评估中枢神经系统的安全性、有效性及药物相互作用风险。
其他体外研究服务包括:
这些体外研究与大型动物DMPK研究服务相结合,可构建全面的药物风险–获益评估体系。
美迪西在食蟹猴中开展抗体偶联药物(ADC)药代动力学研究方面具备丰富经验,配备完善的采样方案及多分析物生物分析能力
典型研究特征包括:
上述大型动物DMPK研究服务有助于系统表征复杂生物制剂的体内行为,包括连接子稳定性及载荷释放特征。
针对siRNA及寡核苷酸药物,我们将全身药代动力学数据与组织活检(如肝脏、肌肉)相结合,用于追踪:
我们针对核酸类药物的大型动物DMPK研究服务可支持RNA和DNA药物领域的快速发展。
美迪西提供基于¹⁴C、³H及¹²⁵I标记化合物的DMPK研究服务,涵盖:
该类研究可为复杂ADME问题的阐明及监管申报提供关键数据支持。
美迪西严格遵循相关官方指南,确保研究质量、合规性及动物福利符合要求。
AAALAC认证设施与经验丰富的研究团队美迪西拥有通过AAALAC认证的实验设施,并遵循全球动物福利及科研伦理标准开展研究。
这确保:

稳健的LC-MS/MS与ELISA平台生物分析我们的生物分析团队为大动物研究提供支持,包括:
这种综合生物分析是我们大型动物DMPK服务的重要组成部分,可加快数据周转。
设计示例:

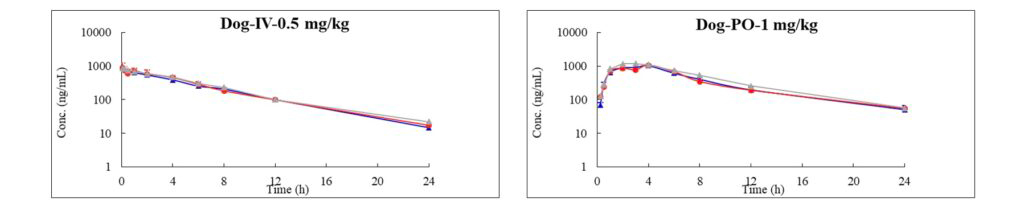
血浆浓度-时间曲线在个体动物之间表现出高度一致性,证明了我们大型动物DMPK服务的可靠性。
设计示例:

该设计用于支持在相关非啮齿动物种中进行长期药代学分析及连接子–载荷行为研究。
在猴子鞘内(IT)给药研究中,美迪西报告如下数据:

如此严谨的流程凸显了我们大型动物 DMPK 服务的质量,尤其是在中枢神经系统靶向治疗方面。
大动物药代动力学(DMPK)服务的典型合作流程包括:
明确项目目标、法规要求及物种选择。
制定给药策略、取样方案、手术要求及终点指标
由经验丰富的动物技术员及兽医实施体内阶段研究
基于 LC-MS/MS 或 ELISA 的定量分析,并进行质量控制检查
起草及最终报告、数据解读及下一步研究规划
美迪西在美国马萨诸塞州列克星敦设有分公司,并在中国拥有大动物设施,合作方可获得:
大型动物研究是指在非啮齿类动物(例如犬、猴和小型猪)中进行的药物吸收、分布、代谢和排泄 (ADME) 研究,以及药代动力学和非 GLP 安全性研究。这些研究有助于预测人体暴露情况、支持剂量选择,并满足监管要求。
当需要进行跨物种比较时, 美迪西可以对比格犬、食蟹猴、迷你猪和其他小型动物(如小鼠、大鼠、豚鼠和兔子)进行大型动物DMPK服务。
美迪西的大型动物DMPK服务涵盖小分子、肽类、蛋白质、抗体药物偶联物(ADC)、siRNA、寡核苷酸和其他新型疗法。我们将体内研究与体外ADMET研究和专业生物分析相结合,为多元化的研发管线提供支持。
作为大型动物DMPK服务的一部分,美迪西支持使用 ¹²⁵I、¹⁴C 和 ³H 放射性标记化合物进行研究,以评估大型动物的代谢、组织分布及质量平衡。
我们的设施均通过了AAALAC认证,所有研究严格遵循动物福利和伦理标准。经验丰富的团队、经过验证的操作流程和可靠的生物分析方法确保了我们的大型动物DMPK服务产生高质量、可重复的数据。
美迪西已在猴子和狗身上建立了肝脏、皮肤、脂肪、骨髓、淋巴结和肌肉活检技术,可对寡核苷酸、siRNA等疗法进行连续组织取样。这些基于活检的大动物DMPK服务可以支持在组织水平上进行深入的PK/PD相关性分析。
与美迪西合作,提供转化型大型动物DMPK 服务
相关新闻时间:2020年03月27日 14:00-15:00
地点:线上直播