
美迪西 siRNA 体外筛选平台致力于推动 RNA 干扰研究、加速药物发现进程。依托先进工具与成熟方法学,平台提供从 siRNA 设计到体外药效评估的一体化解决方案。
美迪西采用先进的工具和方案来设计高效、低脱靶效应的siRNA序列:

通过整合跨物种的序列比对结果,提高靶向准确性。
确保对人类、小鼠、大鼠和其他类似物均有效。
结合 SNP 和组织特异性表达数据,用于定制 siRNA 序列。
通过序列比对与错配评分系统,降低非特异性作用风险。
研究方法:结构化的六步设计和验证工作流程:
确保了特异性和靶点匹配

比较序列变体以进行优化

筛选遗传多态性位点,降低个体差异带来的影响

在 Hep3B 细胞中验证表达模式


生成了超过 300 个候选序列
基于优异性能筛选出 MED-A-0280 作为候选分子

美迪西构建了完善的体外检测方法,用于评估 siRNA 候选分子的有效性、安全性及靶向特异性。
通过系统性的体外评价策略,全面评估 GalNAc 偶联 siRNA 的药效表现,包括在多种细胞平台上的结合、摄取及基因沉默试验。
GalNAc 相关检测:
基于 SPR 和 ELISA 的 GalNAc-ASGPR1 结合分析
利用共聚焦显微镜分析 HepG2 细胞摄取
采用 FACS 分析 HepG2 细胞表面结合
通过 qPCR 测定原代肝细胞摄取
siRNA 特异性检测:
psiCHECK2 荧光素酶报告基因检测
通过 qPCR 分析细胞系及原代细胞转染效果
利用 qPCR 追踪原代细胞摄取情况
Ago2 负载实验(评估 siRNA 是否成功进入 RISC 复合体)
采用多维度策略评估 siRNA 的脱靶效应,包括依赖于杂交和不依赖于杂交的细胞反应和毒性机制。
杂交依赖性检测:
psiCHECK2 种子序列分析
靶点敲除细胞系中的细胞毒性检测(CTG 检测)
基于 RNA-seq 和芯片的转录组分析
非依赖杂交的检测方法:
TLR3/TLR7/TLR8 细胞因子释放实验(PBMCs:ELISA/Luminex)
使用 HEK-Blue TLR 表达细胞的报告基因实验
补体激活研究
原代肝细胞及肾细胞模型中的毒性检测
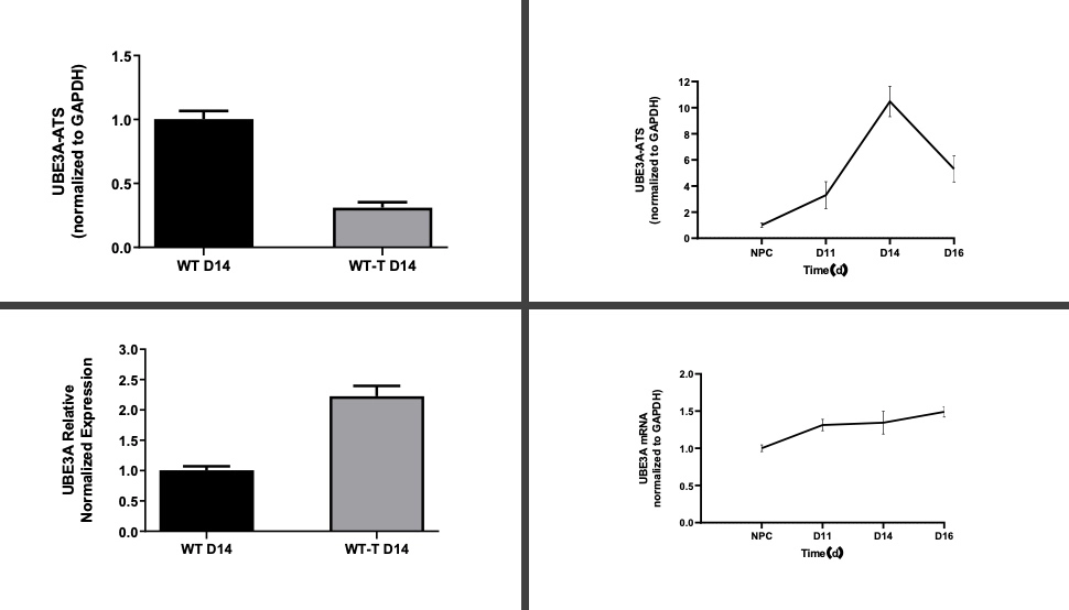
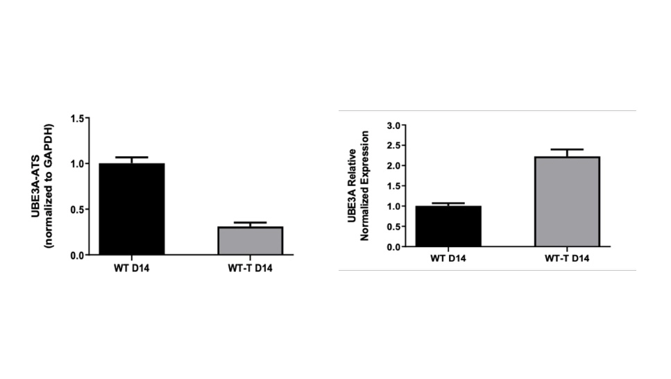
研究目标:利用 iPSC 衍生的皮层神经元评估靶向 UBE3A 的 ASO 的疗效。
检测
ASO 治疗: 在第 14 天对神经元进行给药,并持续监测 9 天
基因表达分析: 通过 qPCR 检测到 UBE3A 表达上调,同时 UBE3A-ATS 表达下调

关键结果
结果证明了 ASO 在调节神经元模型中的靶基因方面的有效性,突显了其在神经治疗应用方面的潜力。


与美迪西合作,获取以科学严谨性和丰富成功经验为支撑的创新 siRNA 解决方案。
无论您专注于治疗性药物开发还是基础研究,美迪西的 siRNA 平台都能为您提供值得信赖的研究成果。
深入解答 siRNA 临床前研究中的常见问题,介绍最新研究进展并提供相应解决方案。
由于 ASO 为单链、siRNA 为双链,二者结构差异明显,因此利用 bDNA 技术构建 ASO 分析方法比构建 siRNA 分析方法更为简便。
相关新闻