业务咨询
中国:
Email: marketing@medicilon.com.cn
业务咨询专线:400-780-8018
(仅限服务咨询,其他事宜请拨打川沙总部电话)
川沙总部电话: +86 (21) 5859-1500
海外:
+1(781)535-1428(U.S.)
0044 7790 816 954 (Europe)
Email:marketing@medicilon.com



美迪西生物医药提供全面的生物学平台,以加速药物发现与开发。凭借超过二十年的研发经验、庞大的科学家专家团队和广阔的实验室基础设施,美迪西为从早期发现到转化医学的整个药物创新过程提供支持。
我们生物学服务的核心是对卓越性、可扩展性和速度的承诺,通过最先进的技术和以客户为中心的理念来实现。
美迪西生物医药由四大核心功能单元驱动,形成一个整合的系统,支持完整的药物发现流程及作用机制相关研究。
我们秉持卓越性、可扩展性和快速的原则,运用先进的技术,并以客户至上的理念,在每一次合作中力求完美。
美迪西提供稳健的蛋白工程服务,是药物靶点验证与生物大分子药物研发的重要支撑。我们采用多种表达系统,确保蛋白的高产量与高质量。

KRAS G12D的筛选展示了高质量晶体生长所需条件的优化。

利用同步辐射 X 射线光源进行 X 射线衍射数据采集,以获得高分辨率衍射图样,这是实现精确结构解析的关键步骤。

KRASG12D 的晶体结构揭示了该蛋白的构象特征及其 GDP 结合状态。

KRAS G12D -MRTX1133(靶标抑制剂)共结晶,展示了与药物设计相关的结合模式和分子相互作用。
我们的生物物理分析方法能够对分子相互作用进行定量分析。
美迪西完善的酶学检测能力,全面支持小分子与生物大分子药物发现研究。
激酶谱
覆盖 150 余种已验证的激酶检测,涵盖多个激酶家族,并包含针对特定 EGFR 与 ALK 突变体的检测体系

其他酶学检测
包括 PDE 家族成员、蛋白酶及其他功能性酶的检测面板,采用 HTRF、ADP-Glo 和 AlphaLISA 等技术平台。

合成致死研究、EGFR / ALK 抑制剂评价
我们全面的细胞功能性检测体系,是评估药物疗效及作用机制的关键基础。
细胞增殖/活力
采用 MTT、CCK-8、CTG、MTS 和 LDH 等方法评估细胞毒性与生长抑制作用。
细胞凋亡与坏死
通过 Annexin V 染色(FACS)及 Caspase 3/7 Glo 实验进行定量分析。
细胞迁移与侵袭
采用 Transwell 实验及 Oris™ 细胞迁移实验进行评估。
细胞信号通路
通过 Western Blot(WB)、HTRF、AlphaLISA、FACS 和 MSD 等方法,评估磷酸化水平、受体内吞及信号通路激活情况。
先进实验体系
支持二维与三维细胞培养系统、协同作用测试及药物联合用药研究。
美迪西专注于小核酸药物发现领域的先进技术,提供覆盖 siRNA 与 mRNA 治疗药物的综合研发平台。
我们专业的平台支持 PROTAC 和分子胶药物的发现和评估。
基于超过 300 种肿瘤细胞系库,美迪西建立了覆盖靶点选择、胞内转运及安全性评价的完整 ADC 体外检测平台。
美迪西的专业 GPCR 平台可对 G 蛋白偶联受体及其相关信号通路开展深入的功能性分析。
GLP1、GIP、GCGR 的激活研究
检测方法:cAMP、Ca²⁺信号传导和HTRF

GLP1R和GCGR表达细胞中cAMP的释放

A:采用 TR-FRET 方法检测胰高血糖素在 HEK293/Gα15/GCGR 细胞中诱导的 cAMP 释放
B:采用 TR-FRET 方法检测替尔泊肽(Tirzepatide)在 HEK293/GIPR 细胞中诱导的 cAMP 释放
C:采用 TR-FRET 方法检测化合物在 CHO-K1/GLP2R/Gα15 细胞中诱导的 cAMP 释放
美迪西先进的免疫细胞分析平台,支持免疫治疗、疫苗开发及基础免疫学研究:

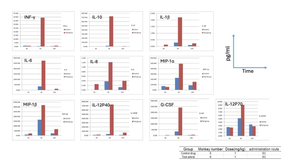
食蟹猴血清细胞因子/趋化因子多重 MSD 分析
在食蟹猴(每组 n = 6)中,于皮下给药(1 mg/kg)对照或受试样品后 0、6 和 24 小时,采用多重 MSD 方法检测血清中的细胞因子/趋化因子水平。检测指标包括 IFN-γ、IL-10、IL-1β、IL-6、IL-8、MIP-1α、MIP-1β、IL-12P40、G-CSF 和 IL-12P70。与对照组相比,试验组(红色柱)在 6 小时出现细胞因子升高,提示急性免疫反应。

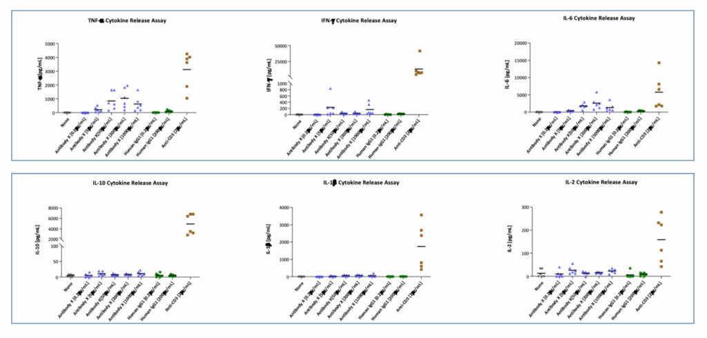
将人外周血单个核细胞(PBMC)与抗体或 ADC 共孵育,采用 Luminex 方法检测上清液中的细胞因子释放。
MSD 多重检测面板

美迪西提供完善且高度整合的抗体与生物大分子发现平台,支持项目从早期发现阶段直至 IND 申报。
人源化与优化
1) 从动物免疫到抗体测序的一体化流程
2) 用于 PK/PD、毒性及作用机制(MoA)的分析工作
美迪西采用先进的多组学技术,提供深入的生物学洞察。
| 能力 | 核心产出 | 应用场景 |
| 蛋白质表达与工程 | 重组蛋白试剂 | 检测分析、结构生物学 |
| 检测平台 | SPR、酶学检测、2D/3D细胞模型 | 作用机制(MoA)与药理学研究 |
| 治疗方式(siRNA/ADC/PROTAC/肽) | 作用机制评估 | 药物验证 |
| 抗体发现 | 抗体、纳米抗体、肽类配体 | 生物大分子先导化合物发现 |
| GPCR/免疫检测 | 功能性信号通路、免疫治疗 | 肿瘤免疫、代谢性疾病 |
| 多组学 & NanoString | 转录组学、生物信息学洞察 | 转化医学研究 |
相关新闻